
订单提交后,10分钟内,我们将安排工作人员和您联系!
上海科俭检测技术有限公司
电话:4009936991
邮箱:
地址:上海市奉贤区金海公路6055号11幢5层
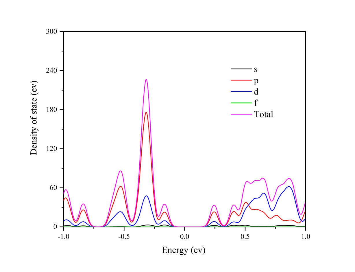
简介第一性原理计算的基本思想是将多个原子构成的体系看成是由多个电子和原子核组成的系统,并根据量子力学的基本原理对问题进行最大限度的“非经验性”处理。它只需要5个基本常数(m0,e,h,c,kB)就可以计算出体系的能量和电子结构等物理性质。它可以确定已知材料的结构和基础性质,并实现原子级别的精准控制,是现阶段
4009936991 立即咨询第一性原理计算的基本思想是将多个原子构成的体系看成是由多个电子和原子核组成的系统,并根据量子力学的基本原理对问题进行最大限度的“非经验性”处理。它只需要5个基本常数(m0,e,h,c,kB)就可以计算出体系的能量和电子结构等物理性质。它可以确定已知材料的结构和基础性质,并实现原子级别的精准控制,是现阶段解决实验理论问题和预测新材料结构性能的有力工具。并且,第一性原理计算不需要开展真实的实验,极大地节省了实验成本,现已被广泛应用于化学、物理、生命科学和材料学等领域。 适合的研究方向包括:金属材料、非金属材料、纳米材料、半导体材料、电催化光催化、热催化、电池、固体、界面、合金、吸附等 晶体几何性质研究 常规性质研究,能带、费米能级、DOS、电荷密度,差分电荷密度、Bader电荷,功函数、ELF等 催化相关计算,HER、ORR、OER等 能量计算,吉布斯自由能、吸附能、掺杂能、形成能等 电池相关计算,扩散性质、迁移能垒、载流子迁移率等 反应相关计算,反应路径、反应机理研究、过渡态搜索、能垒计算等 其他计算,介电常数、弹性模量、磁导率、声子谱等 常用软件:VASP,MS,CP2K,QE等 电荷差分 吸附作用 路径能垒 离子迁移 态密度 OER简介
可以计算的内容包括
常见计算内容(不限于以下内容)






